Setting
Two upstream firms, two downstream firms, all firms set prices.
For downstream firms:
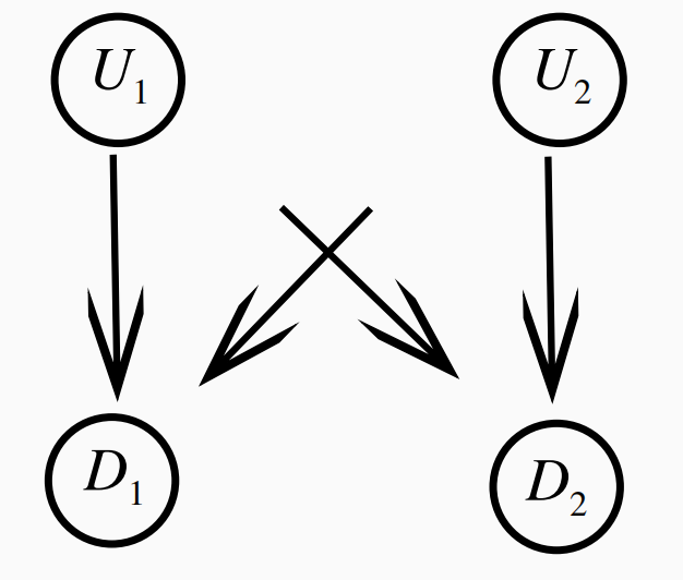
To make 1 unit downstream, you need 1 unit upstream input. Here is an graphically example:

Note: we make the setting that the downstream firms make differentiated products, while the upstream firms make identical products.
All firms set the prices simultaneously, and we could get:
Pre-merger
Since the products are identical, and would behave like Perfect Competition, which is , so that . (We assume there is no fixed cost)
For simplicity, we let buys from
Post-merger
We now let and merge. When they claim to merge, would commit that it would not supply
So it is easy to understand that now becomes a monopolist, (see Monopoly), it is able to set its own price now.
Consumers
Consumers are harmed by firms. Due to increase in . So that the consumer surplus is significantly decreased.